2023-01-11 14:55:37
来源: 无
□ 记者 杨霄 文/摄
上次,咱们写了写青草村: 《乌云,乌云,我是青草!这个接头暗号,很多金华人都懂……》,不少读者在评论区表达了喜爱,还表示对金华古村落有了新的了解。
这次,咱们再来写写乌云村。
离开青草村,往南2.8公里,就到达绿色丛林中的沙畈乡乌云村。

看到这个村名,你是不是和我一样,觉得它是和天空中的乌云有关。
然而,不是。
乌云村的“乌云”,和一个女人有关。
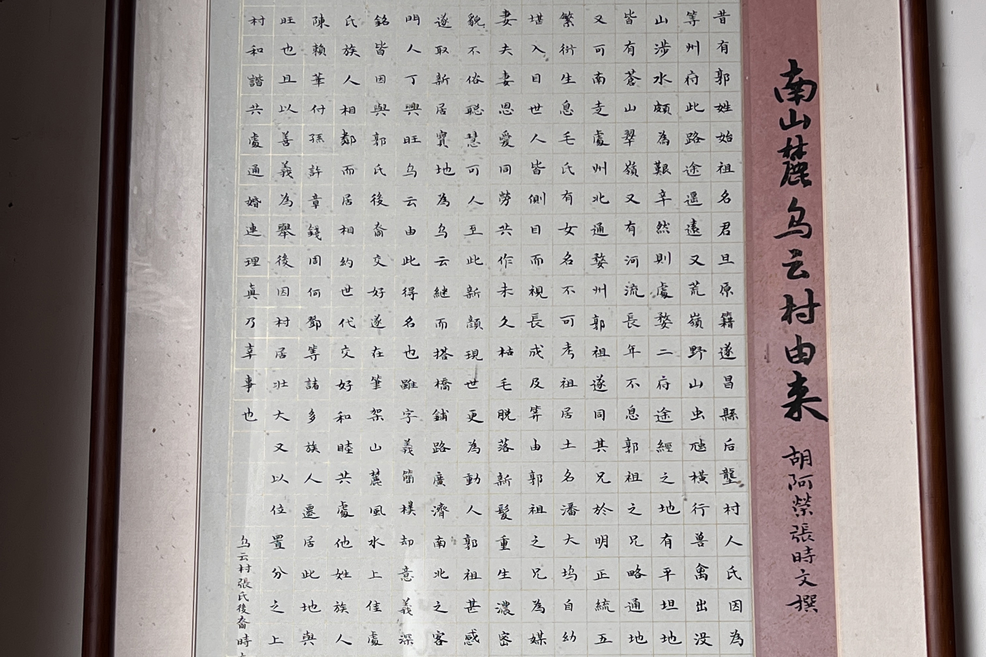
据传,昔有郭姓始祖,名君旦,原遂昌县后垄村人,以外出经商为业。见此地山明水秀,郭始祖遂同其兄于明正统五年迁居于此。
后来郭始祖之兄作为媒人,将冰雪聪慧的毛氏介绍给郭始祖,虽然毛氏毛发稀疏,且黄枯不堪入目,但两人婚后恩爱有加,同劳共作。不久之后,毛氏枯发脱落,新发重生,黑如乌云遮顶。郭始祖甚感欣慰,遂将此地取名为乌云。

乌云村古迹遗存众多,最为出名的要数建于明代,至今保存完好的乌云石拱桥,它还是“白沙八景”之一。

还未进村,就可以看到这座石拱桥,桥边立着一块石碑,石碑上刻有“金华县重点文物保护单位,乌云石拱桥,金华县人民政府”的字样。随着日晒雨淋,石刻上的字略显模糊。
桥下的溪流缓缓流动,桥体呈自然弯拱之状,由溪滩上大大小小的天然鹅卵石砌筑而成,衔接时没用一点一滴的泥浆。历经几百年,依然屹立不倒。

来到乌云村的村口,会面对一个岔路口,遇见一个村民,遂上前询问。
“老乡,乌云村怎么走?”
“这里就是,你要去上乌云,还是去下乌云?”
“……”
虞氏村民见我有些不解,笑笑说。
“沿着这个上坡往里走是上乌云,往那个下坡走是下乌云。”
为什么要分上乌云和下乌云呢?
相传,郭氏在此定居之后,又有虞氏族人由义乌花溪迁居于此,慢慢地,张、邹、李、陈等诸多族人迁到此处。随着村居的不断壮大,就以位置分之上下。上乌云以虞为主姓,下乌云以郭、张为主姓。

来到建于明末清初的虞氏宗祠,现在这里也是村里的文化礼堂、农耕文化馆。有别于其它地方的宗祠,门前围墙上的宣传语是用手写书法,走进里面,可以看到悬挂着一幅幅村民的书法作品,还有村民捐赠的农耕用具。

据了解,村民以种植高山蔬菜、红豆杉、香榧树、茶叶和猕猴桃等为主业。在耕作之余以读书写字为乐,涌现了不少热爱书法的农民书法家。

更多资讯请关注金彩云
凡注有"金华新闻网"或电头为"金华新闻网"的稿件,均为金华新闻网独家版权所有,未经许可不得转载或镜像;授权转载必须注明来源为"金华新闻网",并保留"金华新闻网"的电头。